Mapa Conceptual Costos Y Presupuestos
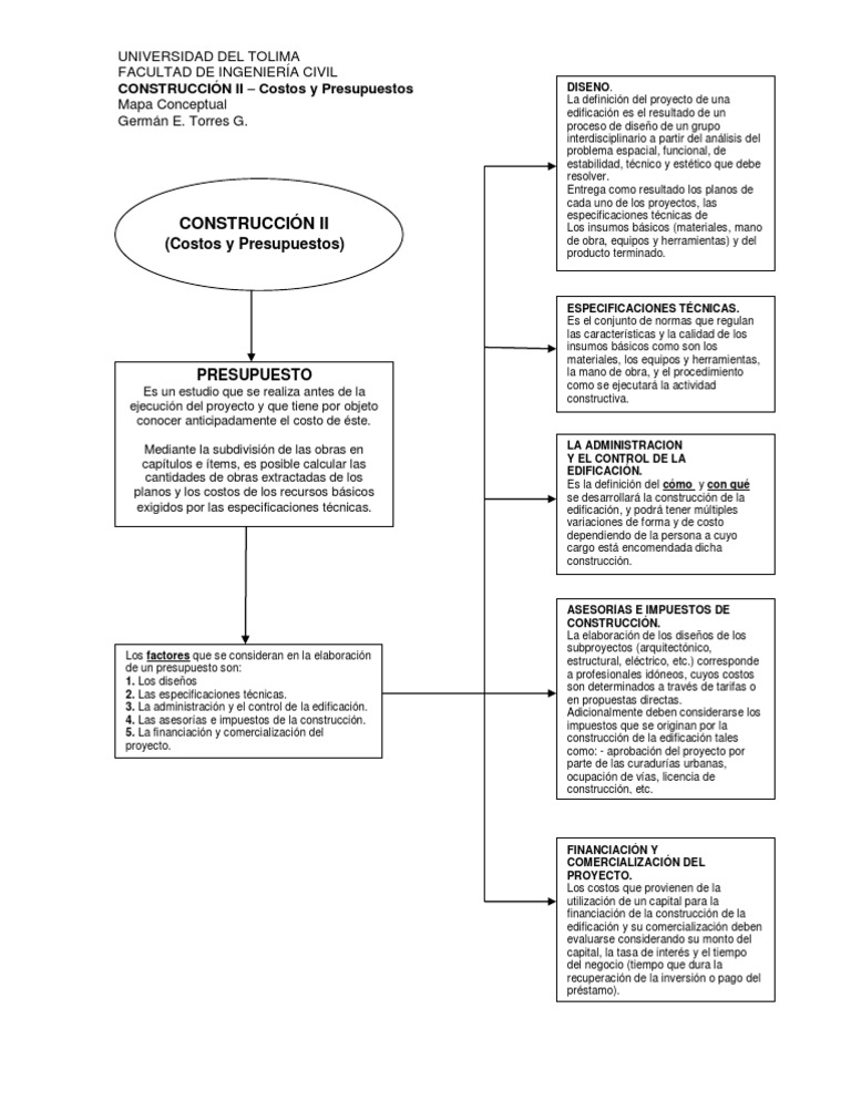
Dando comienzo a la primera Unidad del curso de Costos y Presupuestos se define en esta oportunidad el concepto de contabilidad de costos junto con otros conceptos de interés relacionados con la función de costos un tema de sumo interés en el ámbito empresarial. CONSTRUCCIN II Costos y Presupuestos DISEO.

Mapa Conceptual By Diego Romero
Mapa conceptual politécnico gran colombiano 2020.
Mapa conceptual costos y presupuestos. By Andrea Acosta González on Prezi Design. You can edit this template on Createlys Visual Workspace to get started quickly. Mapa Conceptual May 2021 0.
En esta unidad 1 titulada concepto de costos aprendí que la. MAPA MENTAL CONTABILIDAD DE COSTOS UNIDAD 1 REFLEXION. La definicin del proyecto de una edificacin es el resultado de un proceso de diseo de un grupo interdisciplinario a partir del anlisis del problema espacial funcional de estabilidad tcnico y esttico que debe resolver.
Mapa Conceptual Costos Y Presupuestos December 2019 42. Mapa conceptual de costos. Naturaleza conceptos y clasificación de los costos 11 Naturaleza conceptos y objetivos de.
MAPA CONCEPTUAL COSTOS Y PRESUPUESTOS ESTRUCTURA CONTABLE MAPA CONCEPTUAL COSTOS VS GASTOS MAPA CONCEPTUAL ELEMENTOS DEL COSTE MAPA CONCEPTUAL SISTEMA DEL COSTEO MAPA CONCEPTUAL PREDETERMINACIÓN DE COSTOS Componentes del Costo Antes de entrar a mencionar los diferentes componentes del costo vamos a detenernos en la comprensión de. Mapa Conceptual Costos y Presupuestos. Por favor inicia sesión o regístrate para enviar comentarios.
Presupuesto maestro El resultado de este presupuesto. La contabilidad de costos que puede clasificarse dentro de la contabilidad administrativa mide analiza y reporta. Mapa Conceptual Costos December 2019 136.
Presupuesto Calculo anticipado del coste de una obra o un servicio Función Control financiero de la organización. La informática y los presupuestos 2 horas Temario detallado 1. Crear un mapa mental.
Presupuesto es un estudio que se realiza antes de la ejecución del proyecto y que tiene por objeto conocer anticipadamente el costo de éste. Es un gasto que se utiliza para alcanzar una ganancia. Presupuesto que incluye bÁsico de materiales cÁlculo de fasar cuadrillas bÁsicos de mano de obra costos horarios por maquinaria precios unitarios de 50 conceptos con rendimientos de neodata.
Asignatura Principios de Contabilidad. 6 ways virtual sellers can stand out on LinkedIn. También se pueden evidenciar como se clasifican los costos como de producción distribución directos indirectos históricos de periodo fijos variables semivariables etc.
Presupuesto General galpon para gallinnas. El costo total es la adición de los tres elementos del costo que son el costo de materia prima en el cual serian costos de materia directa que son la tela de 1450000 el hilo de 350000 y la cremallera de 503000 y costo de material indirecto que son la bolsa para empaque de 470000 costo de mano de obra en el cual serian mano de obra directa que son el corte de 350000 confección de 265. Crear un mapa mental.
La Escuela Del Silencio. Es un gasto que a pesar de que haya. Mapa conceptual de Presupuesto.
Los ingresos los gastos y los costos se determinan de acuerdo al periodo en el que se va a desarrollar el proyecto para su funcionamiento y operación. Mapa conceptual costos. Mapa Conceptual Costos y presupuestos.
CLASIFICACIÓN DE PRESUPUESTOS - Mapa Conceptual. 111 La contaduría 112 La contabilidad general y la contabilidad de costos 113 La contabilidad financiera 114 La contabilidad administrativa gerencial o de gestión. Evaluacion final - Escenario 8 Costos y presupuestos.
CONSTRUCCIÓN II Costos y Presupuestos. Mapa conceptual de presupuesto maestro. Jueves 8 de septiembre de 2011.
Microprocessors Notes October 2019 66. Adapt it to suit your needs by. Es un gasto que tiene un potencial para generar ganancias a largo plazo.
Mapa mental de presupuestos costos y gastos Presupuesto de ingresos gastos y costos. Mapa Conceptual Contabilidad De Costos Esquemas Y Mapas Conceptuales De Principios De Contabilidad Descargar PDF. Mapa conceptual de Presupuesto.
Asignatura Costos y Presupuestos. Entrega parcial V1. INSTITUTO UNIVERSITARIO DE TECNOLOGIA ANTONIO JOSE DE SUCRE BARQUISIMETO ESTADO LARA Ynosencia Vázquez CINª 9375923 Riesgos y Seguros Barquisimeto 29 de noviembre de 2014 EL CONTROL DEL PRESUPUESTO 2.
We were unable to load the diagram. Created with Raphaël 230. More Documents from Daniel Lopez En Iso 717-1 November 2019 168.
De acuerdo a los presupuestos se basan en aspectos de. The years best Prezi videos. Siendo indispensable su participación activa en la elaboración de proyectos y dinámicas en aula y extramuros.
Otros estudiantes también vieron. Flowers For Algernon December 2019 66. Por MONICA ORTIZ - hace 3 años.
UNIVERSIDAD DEL TOLIMA FACULTAD DE INGENIERA CIVIL CONSTRUCCIN II Costos y Presupuestos Mapa Conceptual Germn E. Método de costeo básicos como costeo de absorbencia y costo directo acumulativos como costo de perdida costo de mantener un proceso y el estandarizar el proceso. MAPA MENTAL CLASIFICACIÓN DE LOS COSTOS Y PRESUPUESTO LOS COSTOS DE ACUERDO CON LA FUNCIÓN EN LA QUE SE INCURREN DE MANOFACTURA DE DISTRIBUCIÓN O VENTA LOS PRESUPUESTOS CON RELACIÓN AL VOLUMEN DE ACTIVIDADES DE ADMINISTRACIÓN VARIABLES FIJOS DESCRIPCIONALES COMPROMETIDOS SEMI VARIABLES.
Es un gasto que ha contribuido para la realización de ese producto y por ende existan ganancias. Our 2021 Staff Picks. Mapa conceptual Costos y presupuestos Block Diagram Use Createlys easy online diagram editor to edit this diagram collaborate with others and export results to multiple image formats.
About Press Copyright Contact us Creators Advertise Developers Terms Privacy Policy Safety How YouTube works Test new features Press Copyright Contact us Creators. 6 puntos para empezar a realizar mapas. Les permite mostrar mapas mentales y conceptuales investigaciones lecturas análisis y reflexiones sobre los temas a estudiar.
MAPA CONCEPTUAL COSTOS Y PRESUPUESTOS ESTRUCTURA CONTABLE MAPA CONCEPTUAL COSTOS VS GASTOS MAPA CONCEPTUAL ELEMENTOS DEL COSTE MAPA CONCEPTUAL SISTEMA DEL COSTEO MAPA CONCEPTUAL PREDETERMINACIN DE COSTOS Componentes del Costo Antes de entrar a mencionar los diferentes componentes del costo vamos a detenernos en la comprensin de los tipos. Mediante la subdivisión de las obras en capítulos e ítems es posible calcular las cantidades de obras extractadas de los planos y los costos de los recursos básicos exigidos.

Presupuesto De Costos De Produccion Mindmeister Mapa Mental

Clase Presupuesto Presupuesto De Ventas

Mapa Conceptual De Gestion De Costes Docsity

Mapa Conceptual Costos Y Presupuestos By Francymcdeoz On Deviantart

Emprendedores Mapa Conceptual Costos Y Presupuestos

Costos Y Presupuestos Inocencio Melendez Julio Mapa Conceptual Sobr
Mapa Conceptual Costo Pdf Costo Presupuesto
Mapa Mental Costos Y Presupuestos

Mapa Conceptual De Presupuesto Docsity
Mapa Conceptual Contabilidad De Costos Pdf Presupuesto Business
![]()
Mapa Conceptual Costos Y Presupuestos Matematicas Ii Poli Studocu
Mapa Conceptual Naturaleza De Los Costos

Mapa Conceptual Costos Y Presupuestos Youtube

Mapa Conceptual Costos Y Presupuestos Docsity

Mapa Conceptual Control De Costos Docsity






Posting Komentar untuk "Mapa Conceptual Costos Y Presupuestos"